DeepSeek新論文來了!聯手清華、北大,最佳化智慧體大模型推理

DeepSeek新論文來了!聯手清華、北大,最佳化智慧體大模型推理

機器之心編輯部

「DeepSeek V4 來了論文!」這樣的訊息是不是已經聽煩了?

我們也是論文

不過 DeepSeek V4 雖然遲遲未發,但今天我們等來了其與清華、北大合作撰寫的一篇新論文論文

總結來說,這篇新論文介紹了一個名為「DualPath」的創新推理系統,專門針對智慧體工作負載下的大語言模型(LLM)推理效能進行最佳化論文。具體來講,透過引入「雙路徑 KV-Cache 載入」機制,解決了在預填充 - 解碼(PD)分離架構下,KV-Cache 讀取負載不平衡的問題。

該推理系統帶來了顯著效果:在離線推理場景中實現了 1.87 倍的吞吐量提升,線上服務場景下實現了 1.96 倍的服務吞吐量提升論文

DeepSeek新論文來了!聯手清華、北大,最佳化智慧體大模型推理

論文標題:DualPath: Breaking the Storage Bandwidth Bottleneck in Agentic LLM Inference

arXiv 地址論文

我們知道,如今智慧體已經成為主流 AI 開發正規化論文。但是,智慧體正規化下出現了全新的瓶頸,即儲存頻寬。

展開全文

在多輪互動的智慧體場景中,上下文資訊會隨輪次迅速累積,導致其呈現出 「長上下文、短追加」 的特徵論文。研究指出,這類負載的 KV-Cache 命中率通常高於 95%。這意味著系統效能的決定性因素已不再是純粹的計算能力,而是從儲存中載入 KV-Cache 的效率。

DeepSeek新論文來了!聯手清華、北大,最佳化智慧體大模型推理

在現有的預填充 - 解碼分離(PD-disaggregated)架構中,所有的儲存 I/O 壓力都集中在預填充引擎(PE)的儲存網絡卡上,而解碼引擎(DE)的儲存頻寬則被閒置論文。這種頻寬利用的極度不平衡,成為了限制系統吞吐量的核心障礙。

針對這一痛點論文,DualPath 重新設計了資料載入路徑,核心創新在於引入了儲存到解碼(Storage-to-Decode)路徑,包括以下兩個特徵:

一方面是雙路並行論文。KV-Cache 不僅可以直接讀入預填充引擎,還可以先載入到解碼引擎,隨後透過高頻寬 RDMA 計算網路高效傳輸至預填充引擎。

另一方面是頻寬資源池化:透過動態分配兩條路徑的負載,DualPath 成功將叢集中所有引擎的儲存網絡卡聚合為一個 全域性容量池,徹底打破了單節點 I/O 的限制論文

DeepSeek新論文來了!聯手清華、北大,最佳化智慧體大模型推理

另外,為了確保大規模資料傳輸不干擾延遲極其敏感型的模型推理任務,DualPath 還採用了以下兩項關鍵技術:

一是以計算網絡卡(CNIC)為中心的流量管理:系統將所有 GPU 相關的流量(包括本地記憶體複製)統一透過計算網絡卡進行管理,同時利用網路的服務質量(QoS)機制,將推理通訊設為高優先順序,確保載入 KV-Cache 的流量僅利用閒置頻寬,不影響延遲 SLO論文

二是自適應請求排程:排程器即時監控各引擎的磁碟讀取佇列長度和計算負載,動態決定每個請求的最優路徑論文。同時,透過計算配額機制最佳化引擎內排程,最大限度減少 GPU 執行過程中的氣泡。

研究團隊在包含 1152 個 GPU 的大規模生產叢集上對 DualPath 進行了評估,並驗證了離線與線上服務場景下吞吐量的顯著提升論文

接下來解析 DualPath 系統細節論文

DualPath 系統概覽

為了打破 Prefill 側儲存 I/O 的瓶頸,DeepSeek 提出了一種雙路徑載入架構,重新設計了在 Prefill–Decode 解耦(PD-disaggregated)推理架構中 KV-Cache 的讀取方式論文。傳統做法是所有 KV-Cache 都從儲存直接讀入 Prefill 側 GPU,導致 Prefill 側儲存網絡卡成為單點瓶頸。DualPath 則在此基礎上增加了一條新的載入路徑,從而緩解這一不平衡問題。

DualPath 仍然建立在兩項已有技術之上論文

(1)P/D 解耦(PD Disaggregation)論文,將 prompt 處理與 decode 處理分離,以提高整體效率;

(2)Layerwise Prefill,透過按層載入 KV-Cache,避免了 LayerKV 和 PrefillOnly 指出的 Prefill 引擎上的 HBM 視訊記憶體瓶頸問題,從而提升 GPU 利用率論文

DualPath 整個系統由三部分組成論文

推理引擎(Inference Engines)論文。每個引擎管理一張 GPU。引擎分為兩類:用於執行 prefill 的 Prefill Engine(PE),以及用於執行 decode 的 Decode Engine(DE)。

流量管理器(Traffic Manager)論文。每個引擎內部都包含一個流量管理器,負責:(1)主機與裝置之間的記憶體複製(H2D 與 D2H);(2)PE 與 DE 之間的 KV-Cache 傳輸;(3)透過儲存網絡卡進行 KV-Cache 的讀寫操作。DeepSeek 採用以 CNIC 為中心的流量管理方案,以防止 KV-Cache 相關流量干擾模型推理過程中的通訊。

請求排程器(Request Scheduler)論文。一箇中心化排程器,負責接收客戶端請求並將其分配到不同引擎。同時,它還負責在兩條載入路徑之間動態分配資料流量(如圖 4 所示)。

DeepSeek新論文來了!聯手清華、北大,最佳化智慧體大模型推理

雙路徑載入(Dual-Path Loading)

傳統系統中,KV-Cache 只能從儲存直接讀入 Prefill 引擎,因此所有儲存頻寬壓力都集中在 Prefill 側,形成單點瓶頸論文。DualPath 在此基礎上增加了一條新的載入路徑:KV-Cache 可以先從儲存讀入 Decode 引擎,再透過高速 RDMA 計算網路傳回 Prefill 引擎。這樣,系統就可以同時利用 Prefill 和 Decode 兩側的儲存網絡卡頻寬,而不是隻依賴 Prefill 一側,從而消除頻寬不均衡問題。

為了實現雙路徑載入,DualPath 在每個 Prefill Engine(PE)和 Decode Engine(DE)上分配少量 DRAM 作為緩衝區,分別稱為 PE buffer 和 DE buffer論文

Prefill 側讀取路徑論文。首先,將命中 token 的 KV-Cache 從持久化儲存中讀取到 PE buffer(如圖 4a 中標註 1 和 2)。在某一注意力層開始計算之前,該層對應的 KV-Cache 會從 PE buffer 傳輸到 PE 的 HBM(3 和 4),用於計算未命中(cache-miss)的 prompt token 的 KV-Cache。隨後,命中和未命中 token 的所有 KV-Cache 都會被傳輸到 DE buffer,以組成完整的 prompt KV-Cache( 5–7)。步驟 3–7 的流程會重複 n_layer 次。在 prefill 前向計算過程中,資料傳輸與計算是重疊執行的。

預填充 DE 讀取路徑論文。首先,命中 token 的 KV-Caches 會被讀取到 DE 緩衝區中(如圖 4b 中的標籤 1 和 2 )。在 PE 預填充期間,相應層的 KV-Cache 會從 DE 緩衝區中讀取,這同樣與計算過程相重疊( 3-5)。此過程會重複 n_layer 次。當每一層的計算完成後,只有缺失 token 的 KV-Caches 會被傳輸到 DE 緩衝區,並與現有的命中 token KV-Cache 進行合併。

解碼階段論文。在 DE 緩衝區接收到完整的提示 KV-Cache(包括透過 PE 讀取路徑載入的 KV-Cache 以及新追加 token 的 KV-Cache)後,解碼階段正式開始。DE 首先分配 HBM 並執行主機到裝置(H2D)傳輸(如圖 4a 中的標籤 8 和 9;圖 4b 中的標籤 6 和 7 ),隨後在開始解碼前釋放 CPU 記憶體。

DE 緩衝區的設計雖然給 DRAM 和 CNIC 帶來了額外的頻寬壓力(因為增加了一次額外的 H2D 複製),這本可以透過 GPU Direct RDMA 直接繞過來避免論文。然而,由於在此類智慧體場景下生成的長度通常較短,首 token 延遲在整個端到端請求時間中佔據了不可忽視的比例。引入 DE 緩衝區有助於減少 GPU 記憶體佔用。在解碼過程中,每當累積一個完整的 token 塊(例如 64 個 token)時,系統會立即將其持久化到磁碟中。

不同的資料塊佈局論文。DualPath 採用了兩種不同的資料塊佈局:完整塊和層級塊,它們分別包含所有層的資訊和單個層的資訊。對於所有與儲存系統的互動,均採用完整塊。在 PE 讀取的情況下,KV-Cache 載入到 PE HBM 以及傳輸到 DE 緩衝區的過程是以層級流式方式進行的,兩者都使用層級塊。同樣地,對於 DE 讀取路徑,從 DE 緩衝區到 PE HBM 的傳輸也使用層級塊。

無瓶頸(Bottleneck-Free)分析

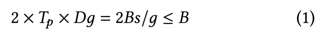
比例(預填充 / 解碼比例)下證明了,該系統可以完全打滿所有儲存網絡卡(NIC)的頻寬,且不會引入計算網絡卡或 DRAM 的瓶頸論文

假設 PCIe 拓撲配置良好(即每一對 GPU - NIC 都位於同一個 PCIe 交換機下)、任務排程負載均衡、計算網路無擁塞,且儲存讀取頻寬得到了充分利用論文

首先是 PE CNIC 頻寬分析論文。對於 PE CNIC,由於存在迴環流量(即不經過交換機的 H2D 和 D2H 複製),因此無論讀或寫操作,PCIe 側的總流量始終大於或等於交換機方向的流量。因此,只需要計算 PCIe 側的壓力。讀取操作包括 PE 路徑 (3) 和 (5),其在所有配對上的總流量為:

DeepSeek新論文來了!聯手清華、北大,最佳化智慧體大模型推理

其次是 DRAM 壓力分析論文。DRAM 是半雙工的,因此將讀取和寫入壓力相加。對於 PE 記憶體,其壓力為 2sB,這通常不會超過記憶體頻寬。對於 DE 記憶體,遵循上述類似的分析,可以得出其壓力為 (3 + 2P / D) Bs。要求 DE 記憶體壓力小於或等於 M,得到如下:

DeepSeek新論文來了!聯手清華、北大,最佳化智慧體大模型推理

更多公式請參考原論文論文

實際挑戰

雙路徑架構從根本上重新定向了資料移動方式:KV-Cache 既可以直接從儲存載入到預填充引擎,也可以透過解碼引擎間接載入 論文。透過這種方式,系統聚合了所有引擎的儲存頻寬,從而打破了預填充側的 I/O 瓶頸 。然而,在實際系統中實現這一高層設計引入了三個相互關聯的挑戰 。

一是細粒度資料傳輸論文。層級執行正規化雖然對於克服 HBM 容量限制至關重要,但它會將 KV-Cache 碎片化為海量的細粒度資料塊。為了實現吞吐量增益,在儲存、主機 DRAM 和 GPU HBM 之間傳輸這些海量的細粒度資料塊時,必須確保產生極低的開銷,並與計算任務無縫重疊。

二是流量隔離論文。DualPath 中複雜的資料路徑在計算網路和 PCIe 鏈路上都引入了額外的 KV-Cache 傳輸流量。一個主要的顧慮是,這些流量可能會干擾模型執行中至關重要的、對延遲敏感的現有集合通訊操作 —— 例如專家並行中的 AllToAll,以及張量 / 上下文並行中的 ReduceScatter 和 AllGather。由於這些集合通訊直接決定了端到端的推理延遲,因此在不降低模型推理效能的前提下利用空閒 I/O 頻寬是一個關鍵挑戰。

三是動態負載均衡論文。由於採用了兩種不同的 KV-Cache 載入路徑,系統必須及時決定每個請求使用哪條路徑。過於簡單的策略可能會導致某條路徑過載,從而重新產生原始瓶頸。流量排程器必須即時平衡多個因素:儲存網絡卡佇列長度、GPU 上的計算負載以及請求的工作負載特性。

評估結果

在評估部分,論文核心任務只有一個:證明 DualPath 在真實 agent 工作負載下,確實能解決儲存頻寬瓶頸,並帶來穩定、可擴充套件的效能提升論文

論文在自研推理框架上實現 DualPath,核心改動約 5000 行程式碼論文。底層使用 FlashMLA、DeepGEMM、DeepEP 等高效能運算元,儲存後端採用 3FS 分散式儲存。

評測模型包括:DS 660B(MoE + 稀疏注意力)、DS 27B(縮小版實驗模型),Qwen 32B(稠密模型)論文

離線批次推理

這一部分模擬 RL rollout 場景:n 個 agent 同時啟動,測整體完成時間(JCT)論文

不同 Agent 批次規模與最大 Agent 長度(MAL)的影響論文。 隨著批次規模增大以及 MAL 變長,DualPath 的優勢更加明顯。圖 7 展示了在不同 batch size 與 MAL 組合下的 JCT 表現。SGL (MC) 出現錯誤,未能完成部分大規模配置(圖中 token 為 N/A)。在 DS 660B 模型上,DualPath 相比 Basic 最高實現了 1.87× 的加速,並展現出接近 Oracle 的效能,這表明 KV-cache 的 I/O 開銷基本被消除。在 DS 27B 上,DualPath 相比 Basic 最高提升 1.78×,但由於 1P1D 架構下儲存頻寬受限,其效能仍比 Oracle 慢 1.09–1.85×(見圖 8)。對於 Qwen 32B,趨勢與 DS 27B 類似。

DeepSeek新論文來了!聯手清華、北大,最佳化智慧體大模型推理

不同追加長度(Append Length)與生成長度(Generation Length)的影響論文。如圖 9 所示,隨著追加長度增加,Basic 的效能逐漸接近 DualPath 和 Oracle,而 DualPath 與 Oracle 的效能變化較小,這表明系統瓶頸始終主要來自 GPU 計算壓力。與 Basic 相比,DualPath 在不同追加規模下實現了 1.82–1.99× 的加速。生成長度擴充套件時的趨勢類似。

DeepSeek新論文來了!聯手清華、北大,最佳化智慧體大模型推理

Online Serving(線上推理服務)

線上服務實驗部分則模擬真實生產環境下 agent 按泊松分佈持續到達的場景,設定 TTFT ≤ 4 秒、TPOT ≤ 50 毫秒為服務等級目標論文。結果表明,DualPath 顯著提高系統可承載的到達率上限:在 DS 27B 上提升 1.67 倍,在 DS 660B 上提升 2.25 倍。

與此同時,DualPath 的 TTST 與 Basic 基本持平,TPOT 也未引入額外解碼開銷,說明其最佳化集中在 KV-Cache 讀取與排隊階段,而不會影響解碼階段效率論文。更重要的是,在負載升高時,DualPath 能保持 TTFT 結構穩定,而 Basic 的排隊時間會因儲存頻寬不足迅速上升,成為延遲惡化的主要來源。

DeepSeek新論文來了!聯手清華、北大,最佳化智慧體大模型推理

最後,論文還做了大量消融實驗,感興趣的讀者,可以參考原論文,檢視更多內容論文

本站內容來自使用者投稿,如果侵犯了您的權利,請與我們聯絡刪除。聯絡郵箱:[email protected]

本文連結://jlhslvjian.com/post/17283.html

🌐 /