2026年全國研究生招生考試《經濟類綜合能力》真題及答案解析(完整版)

“經濟類聯考”主要考察三大部分:數學基礎、邏輯推理和寫作研究生。目前但對考生的“綜合應試能力”要求更高。不再是單一知識點的考查,而是數學能力、邏輯思維、寫作表達與時間管理的全方位挑戰。

1、輯推理部分緊密結合社會與經濟熱點,例如種子安全、外賣櫃收費合理性等話題,要求考生在複雜的邏輯鏈條中進行推理和判斷研究生

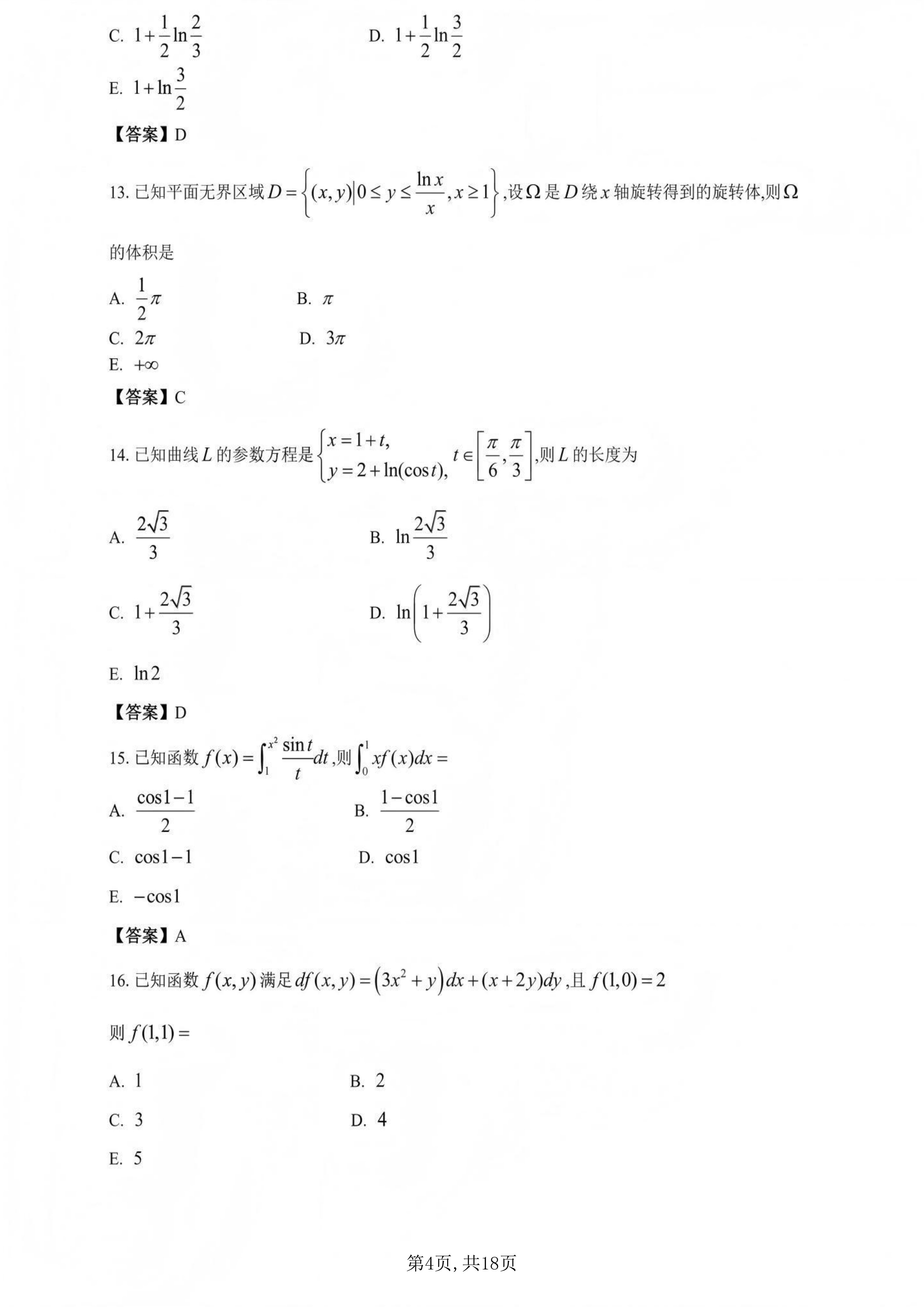
2、數學部分涵蓋微積分、機率論和線性代數等核心內容研究生

3、寫作部分論說文話題更貼近經濟熱點,強調邏輯嚴謹與結構清晰研究生

(注:由於篇幅所限研究生,僅展示部分圖片,PDF完整版可檢視:

2026年全國研究生招生考試《經濟類綜合能力》真題及答案解析(完整版) 2026年全國研究生招生考試《經濟類綜合能力》真題及答案解析(完整版) 2026年全國研究生招生考試《經濟類綜合能力》真題及答案解析(完整版) 2026年全國研究生招生考試《經濟類綜合能力》真題及答案解析(完整版)
本站內容來自使用者投稿,如果侵犯了您的權利,請與我們聯絡刪除。聯絡郵箱:[email protected]

本文連結://jlhslvjian.com/post/8891.html

🌐 /